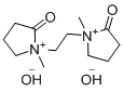
陈铁柱王淑芬小说🔞阅读🚩 1,2-二(N-甲基吡咯烷酮)乙基氫氧化铵_大有化工_石油化工助劑類_分子篩類_季铵鹽類_季铵堿類
总 公 司急 速 版WAP 站H5 版无线端AI 智能3G 站4G 站5G 站6G 站
 
·
 
 ·
·